Starting Point
Starting point of io looks good. Take integral to visit Vc initial condition. Then get expression for Vtotal, then take integral of that to visit IL initial condition. Lots of integrals.
Transfer Function
L :=1; R1 := 1/2; C := 1/2; R2 := 1.5; simplify((1/(R2 + 1/(s*C))/(1/(s*L) + 1/R1 + 1/(R2 + 1/(s*C))))
Homogeneous Solution
Set the denominator of the transfer function to 0 and solve for s:
solve(8*s^2 + 11*s + 4)
So the solution is going to have the form:
Particular Solution
After a very long time the inductor shorts, all the current flows through it so:
Initial Conditions

Adding the particular and homogeneous solutions, get:
Doing the final condition again, get:
Let's try for Vc first. From the terminal relation for a capacitor:
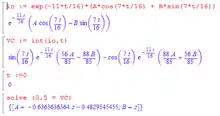
io := exp(-11*t/16)*(A*cos(7*t/16) + B*sin(7*t/16))
VC := 2* int(io,t)
We know that initially Vc = 1.5 so at t=0 can find equation for A and B:
t :=0;
solve(1.5 = VC)
At this point mupad goes numeric and get this equation:

Need another equation. Can find Vt by adding Vr and Vc. Then from Vt can find expression for the current through the inductor and visit it's initial condition. Need to start over in MuPad because t=0 has ruined the current session. So repeating the setup of VC:
io := exp(-11*t/16)*(A*cos(7*t/16) + B*sin(7*t/16))
VC := 2*int(io,t)
The integration constant is going to be zero because after a long time VC is zero (the inductor shorts).
VT := VC + io*1.5
From the terminal equation for an inductor:
IL := int(VT,t)
Mupad goes numeric.
At this point have to figure out the integration constant. After a long time, the inductor's current is going to be 1 because it shorts the current source. Looking at IL in the mupad window can see that every term is multiplied by e-0.6875t which is going to zero as t goes to ∞. This means the integration constant is 1.
So add 1 to IL, then set t=0 and IL = 0.5 and again solve for A and B:
t :=0;
solve (IL + 1 = 0.5)
Get this equation:
Now need to solve the two equations and two unknowns:
solve([A = - 0.6363636364*B - 0.7244318182,A = 6.273453094*B + 1.802644711],[A,B])
Get:
So now have time domain expression for io step response:
Impulse Response

The impulse response is the derivative of the step response:
i_u := exp(-11*t/16)*(-0.4916992187 * cos(7*t/16) - 0.3657226563*sin(7*t/16))
i_s := diff(i_u,t)
Convolution Integral
The first step is to substitute into i_s for t:
i_sub := subs(i_s, t = y-x):
Now form the convolution integral:
f := i_sub*(1 + 3*cos(2*x)): io := int(f,x = 0..y)
Replacing y with t:
i_o :=subs(io, y=t)
There is going to be an integration constant. This value can not be determined because the driving function oscillates. The initial conditions of the inductor and capacitor have already been visited. More information (like a specific value at a future time) is needed in order to compute an integration constant.
Thus the final answer is:
The answer indicates that io = 0 when t=0. The exponential terms die after 5/0.6875 = 7.27 seconds leaving a sinusoidal function at more than a 90° phase shift from the current source with a DC level of about 0.5 amps.