The Quadrupolar Phenomenon

A molecular quadrupole moment arises from an uneven distribution of charge inside a molecule. Unlike a molecular dipole moment, quadrupole moments cannot be described using two point charges separated by a distance.
Quadrupoles are the 2nd-order term in the multipole expansion of an electric field of a molecule. The general form of a molecular quadrupole is a rank-two tensor (i.e., a matrix). For linear quadrupoles, we can describe the quadrupolar interaction by only looking at the moment.
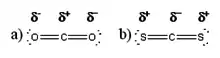
In chemistry, some special cases arise when looking at linear molecules such as carbon dioxide (CO2) and carbon disulfide (CS2). Each of these molecules has a quadrupole moment, but they are of opposite sign. These phenomena can be explained by invoking Pauling electronegativity arguments. Oxygen has a greater electronegativity than carbon, so there is more electron density around the terminal oxygen atoms than in the centre. The opposite is true for carbon disulfide: the sp hybridized carbon is more electronegative than the terminal sulfur atoms and so electron density is localized around the centre of the molecule. The physical manifestation of the two different electronic distributions is that carbon dioxide has a quadrupole moment of -39 C·m2, while that of carbon disulfide is = +1.2×10-39 C·m2

Calculating Quadrupole-Quadrupole Interactions

The interaction energy of two linear quadrupoles is given by,
Linear Quadrupole–Quadrupole Interaction Energy
The quadrupole–quadrupole interaction energy is proportional to the reciprocal of the distance between the two particles () to the power of 5. Due to this higher exponent, quadrupole–quadrupole interactions become weaker as the intermolecular distance is increased at a faster rate than charge-charge interactions or charge-dipole interactions. The quadrupolar interaction energy also depends on the orientation of the two molecules with respect to each other. This is expressed in the orientational term, , which ranges between -1 and 1.
Applications of Quadrupole-Quadrupole Interactions to Molecular Organization
Quadrupole-quadrupole interactions fall under the category of electric phenomena. That is, they are governed by Coulomb's Law just like charge-charge and dipole-dipole interactions. Thus, the conventions of 'like-repels-like and 'opposites attract' are permitted in describing quadrupole-quadrupole interactions. See Figure 1. for a visualization.
Benzene (C6H6) has a quadrupole moment resulting from its π bonding system. The most stable geometries of a complex comprised to two benzene molecules are the 'T-shaped' and 'parallel displaced', where the quadrupole-quadrupole attractive interaction is strongest.

Hexafluorobezene (C6F6) is another aromatic molecule which possesses a quadrupole moment, although it is negative. A partial negative charge on the periphery of the ring is created by the strongly electron-withdrawing fluorine atoms, which cause the centre of the ring to be electron deficient. The favoured alignments of 2 hexafluorobenzene molecules are still 'T-shaped' and 'parallel displaced'. Because of the complementary differences in electronic distribution, benzene and hexafluorobezene can now stack in a parallel geometry.

Appendix
Complete Equation for Charge-Linear Quadrupole Interaction Energy
Complete Equation for Dipole-Linear Quadrupole Interaction Energy
Complete Equation for Linear Quadrupole–Quadrupole Interaction Energy