Nomenclature
Origin

Glyceraldehyde serves as the basis in naming monosaccharides since it is the simplest monosaccharide, having only one asymmetric carbon. (+)-Glyceraldehyde was arbitrarily named the D-enantiomer (the hydroxy group is on the right when drawn as a Fischer Projection). Proof that the structure matched the optical rotation was not obtained until many years later.
(+) and (-) enantiomers
(+) enantiomers rotate plane-polarized light clockwise (also called dextrorotary, abbreviated d), while (-) enantiomers rotate it counter-clockwise (levorotary, or l). This must be determined empirically.
D and L enantiomers
D and L enantiomers refer to the configurational stereochemistry of the molecule. L isomers have the hydroxy group attached to the left side of the asymmetric carbon furthest from the carbonyl, while D isomers have the hydroxy group on the right side. Many naturally occurring sugars are D isomers, although exceptions include arabinose and rhamnose. This system of nomenclature is NOT necessarily the same as optical rotation (D and L are not the same as d and l). In other words, D and L configurations do not fully designate absolute stereochemistry, rather they are determined on the basis of the anomeric carbon center and how its orientation compares to glyceraldehyde, the most basic and simple chiral sugar molecule. It is mostly in aldoses and is not present in ketoses.
R and S enantiomers

Like naming sugars based on D and L, the asymmetric carbon furthest from the carbonyl is the one that determines the name.
All D sugars are R isomers because they all have the hydroxyl group attached to the right of the last asymmetric carbon. By the Cahn-Ingold-Prelog rules for naming stereochemistry, the hydroxyl group will always be priority 1, the carbon of the primary alcohol (the terminal carbon) will always be priority 3, the rest of the carbon chain will be priority 2, leaving hydrogen as priority 4 (as shown below). With the hydroxy on the right, the carbon of interest will always be an R isomer.
The example on the right shows D-Glucose with priorities of each substituent numbered. When rotated to view down the C-H bond, the priorities decrease in a clockwise fashion, hence that stereocenter is designated R. However, for the enantiomer of D-glucose, the priorities decrease in a counterclockwise fashion indicating that the stereocenter is designated S.
Fischer Stereochemistry Proof
Herman Emil Fischer presented the stereochemical configuration relationship in sugar through a series of experiments with ribose. At the time when this experiment was conducted, all they had was optical rotation to determine stereochemistry. Optical rotation assigns (+) for one enantiomer and (-) for the opposite one. However there were no direct correlations with (+/-) and (R/S) for all chiral sugars. For example, for a particular sugar, the R form may be (+) and the S form (-), but in another sugar, the R may be (-) and the S form (+). Fischer was able to manipulate a series of reactions to assign stereochemistry among sugars. At first he just assumed the penultimate position of the experimental arabinose was in R-configuration. He had a 50/50 chance of picking the correct conformation and if, in the future, the experimental arabinose turn out to be in L form, all his data is still relatively correct, just inverted. Luckily, the arabinose was later proved to be in D-conformation.

Under the Kiliani-Fischer synthesis condition, arabinose will produce two epimeric sugars, mannose and glucose. Although it remained unknown which one was glucose and which one was mannose.
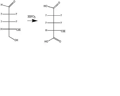
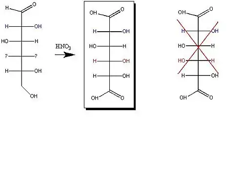
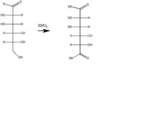
By adding the HNO¬¬3 to arabinose, arabinose will be oxidized into an optically active aldaric acid. Out of the four possible aldaric acid derivatives from a set R penultimate configuration, two were eliminated because they were not optically active. The two remaining candidates’ C2 have the same S stereocenter configuration.

Possible aldaric acid

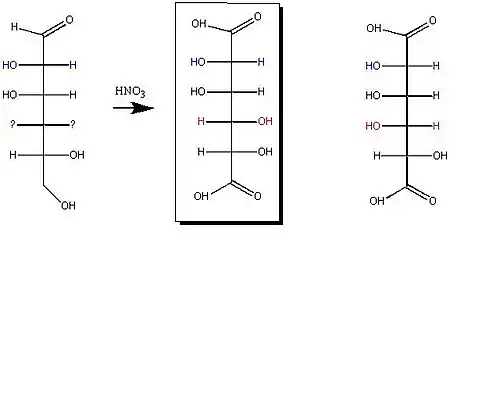
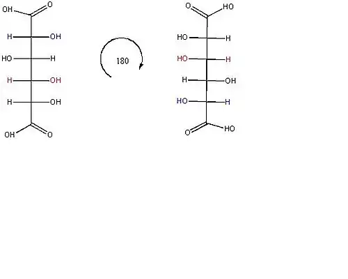
Next, mannose and glucose were oxidized by HNO3. Mannaric acid and glucaric acid were also optically active. With only one unknown stereocenter, there are two possible forms of aldaric acid for each sugar. Out of the four total predictions of glucose and mannose, one of the aldaric acids is meson and therefore cannot be either Mannaric or glucaric acid. Mannaric acid and glucaric acid should have the same stereocenters except for the inverted C2 stereocenter. When one of the models below was rejected, the other model whose C4 is in an S configuration was also rejected. Below, the two circled aldaric acids are mannaric acid and glucaric acid.


The last part of the Fischer proof was to figure out which one is actually glucose. The last clue to Fischer’s proof was that, while glucaric acid can be derived from two sugars, mannaric acid can only be derived from the oxidation of mannose, because mannaric acid is rotationally symmetrical.
Glucaric acid:

Mannaric Acid:


Haworth projection
Haworth projection is used to present cyclic hemiacetals. These followings are steps to convert monosaccharides to cyclic hemiacetals:
- Choose the position for the oxygen
- The oxygen is in the back right-hand corner of the ring (for six-membered ring.)
- The oxygen is away from the viewer (for five-membered ring.)
- The left of the oxygen is C5 with the hydroxymethyl group drawn up.
- The right of the oxygen is C1 with hydroxyl group drawn up or down depending on the α or β structure.
- –OH groups on the right side of the Fischer projection is drawn down.
- –OH groups on the left side of the Fischer projection is drawn up.
D&L enantiomers
If these positions are switched, you will instead have the L (-) enantiomer of glyceraldehdye. For monosaccharides, D and L will be used as prefixes instead of R and S, respectively, in regards to stereochemistry. The stereochemistry of all other monosaccharides can be determined by comparing their Fischer projections to that of D-(+)-Glyceraldehyde. This can be done by examining the stereocenter in the monosaccharide closest to the terminal carbon (the highest-numbered stereocenter)and comparing its configuration to that of glygeraldehyde. That is, if the hydroxy group is on the right, it will be named D- and if the hydroxy group is on the left it will be named L-. It is important to note that for all monosaccharides other than glyceraldehyde, the labels D and L do not necessarily say anything about its optical rotation. For instance, D-Glucose and D-Gulose have both been assigned the stereochemical label D due to their highest-numbered stereocenter (the chiral center furthest from the carbonyl group) having a hydroxy group on the right in their Fischer projections despite Glucose having a positive (dextro-) optical rotation and Gulose having a negative (levo-) optical rotation.


Alpha vs Beta Anomers
Hexoses and pentoses can convert to cyclic pyranoses or furanoses. As these monosaccharides convert between their linear and cyclic formations, the hydroxyl group on the C5 or C6 carbon can attach on either side of the carbonyl of C1(as shown in image above). If the hydroxyl group is pointed in the opposite direction of the CH2OH group, the ring is in its alpha form. However if it is pointed in the same direction, the ring is in its beta form.

Diastereomers and Epimers
Two non-identical monosaccharides are said to be diastereomers if they are of the same type (either both aldoses or both ketoses), have the same stereochemistry at their highest-numbered stereocenter, and have the same number of carbons (i.e. are both tetroses). This is because having the same stereochemistry at their highest-numbered asymmetric carbon ensures that the two non-identical monosachharides will not be mirror images of each other and are therefore not enantiomers. Two monosaccharides that are diastereomers that have differing stereochemistry at only 1 asymmetric carbon (this carbon cannot be the highest-numbered asymmetric carbon) are called epimers. For instance, (D-Glucose and D-Mannose) and (D-Glucose and D-Galactose) are both epimers and diastereomers.
Conformational Isomers
Hexoses and pentoses that have converted into pyranoses or furanoses take on either chair, boat, or envelope conformations due to the tetrahedral geometry of their carbons. Pyranose rings can form either chair or boat conformational isomers (conformers) while furanose rings take on the envelope (also called half-boat) conformation. Substituents on the carbons in the monosaccharides are now either in axial or equatorial positions. The favored conformational isomer will be that which is the least sterically hindered, often containing the majority of its bulkier substituents in equatorial positions, since substituents in axial positions on the same side of the ring create steric hindrance. The chair conformation of pyranose rings can also undergo a ring flip, which switches the orientation of substituents from axial to equatorial and vice-versa, to produce an additional conformational isomer. Chair conformation of six-membered rings is most favorable as it reduces steric interference between two carbon substituents. Boat and Envelope conformations do not exist, but are theorized to act as an intermediate structure existing briefly between a ring flip transition in which axial substituents become equatorial and vice versa.


Sources
Fischer stereochemistry proof: http://nebula2.deanza.edu:16080/~gray/pages/chem_12c.html image was done on the ChemArt program and Paint