Pulsars and neutron stars/Pulsar glitches
Pulsar glitch events

Pulsars are generally considered to be stable rotators. However, Radhakrishnan & Manchester (1969) noted that the pulse rate of the Vela pulsar suddenly changed (the pulsar spun faster). Such events became known as "pulsar glitches". They are relatively rare. Around 500 glitches have, so far, been detected.
The Figure shows a typical glitch. The x-axis for all panels represents time and the vertical dotted line indicates the time at which a glitch occurred. The top panel shows the change in the pulse frequency with respect to the timing model parameters before the glitch. Clearly a sudden change occurred during the glitch in which the pulse frequency increased by ~20μHz. The scaling in this plot does not allow the viewer to see small changes. The central plot is therefore the same, but the mean Δν before and after the glitch has been separately removed. This figure indicates a long term (many thousands of days) decaying signal. The bottom panel shows how the spin-down rate is changing.
Measuring pulsar glitch parameters
Catalogues of glitch parameters
- Jodrell Bank glitch database which was originally based on Espinoza et al. (2011)
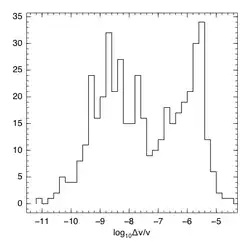
The distribution of glitch sizes
In the figure we show the distribution of (i.e., glitch sizes) for all the radio pulsars in the Jodrell Bank glitch database as of 11th Oct 2015. The script used to make this figure is provided here. In this figure, no attempt has been made to account for observational selection effects. Different pulsars have different data spans, timing precision and observation cadence. This means that the ability to detect a glitch of a certain size is not the same for all pulsar data sets.
