Wright State University Lake Campus/Showcase/2016-9

The Fall of 2016 was a chaotic semester because it occurred at the same time we discovered and began to implement the miraheze.org node of private wikis. The wikitext[1] term paper was worth only 5% of the grade. Nevertheless, in spite of low student evaluations, the efforts convinced me that wikitext projects can be used to not only improve introductory college courses, but also help the best students establish themselves as scholars years before they graduate.
Since the conceptual courses, How things work college course and Astronomy college course, have no mathematical prerequisite requirements, most (but not all[2]) exam questions are conceptual in nature, and most students are reasonably successful at memorizing the answers, often with little actual understanding. These are the courses that are most in need of developing a writing component in which students contribute to the course. Next Spring, we will be using OpenStax Astronomy, which relieves me of the need to find reading material. Students will be primarily tasked with developing quizzes and explanations of those quizzes, all based on OpenStax College/Astronomy.
The quantitative courses use Physics equations and were more successful because rote memory alone is not a viable study strategy.
In the future most courses will use a standard textbook instead of the materials found on Wikiversity. Some of these textbooks might be the freely distributed OpenStax College textbooks.
| Students need to know that these efforts were done when the project was only worth 5% of the grade. In the future, much more effort will be expected because these projects will count much more towards the final grade. |
Selected student reports

Eng 1100 by User:W062bls was one of the first efforts in Phy1050, a Conceptual physics course with a recommended syllabus that encourages an emphasis on computer technology. Student were asked to convert text that they had already written into wikitext in order to explore how quickly students could learn this technology (wikitext is closely related to w:HTML). This collection of essays was written for English 1100. Since this exercise will probably be repeated every semester to introduce wikitext, instructors on this campus will be asked for permission to post student work completed during that course.
17huberk
17huberk represents an in-class effort by another student to illustrate how it is possible to use wikitext as a typewriter in situations where the students is not interested in learning wikitext.
Special:Permalink/1629447
Special:Permalink/1629447 was written by User:17sweenk and is significant for two reasons: First, it illustrates how a writing assignment can turn a multiple choice quiz from a memory exercise into a writing assignment. Second, the link is a permalink that will never be destroyed as long as the parent page is not deleted. This will allow the person who holds the account User:17sweenk to use knowledge of their password to prove that they are author. One flaw to this report is that they did not link to the relevant quiz. Another flaw is that the user did not learn how to upload images. The following gallery was submitted in the Pilot Dropbox and subsequently uploaded by the instructor. Other students might want to finish this project.

Suggest_image_for_intro was a group effort, led by the professor that involved user accounts Mattsief10, Cantelli25, BallLikeImKobe, Boss429, w062bls, and User:JAB0013. The activity was inspired by the term "positive feedback" in the unit on global warming. I described the well-known acoustical positive feedback that arises when a speaker is placed too close to the speaker. Students were instructed to sketch the situation, and these sketches were combined by the instructor that evening to create the image shown. It explains positive feedback at an algebraic level. Then, the class proposed messages to the talk page of Wikipedia:Positive feedback, writing them on paper and reading them to the class. The class voted on which was the most appropriate, and after editing, the instructor posted it on the Wikipedia talk page. The request was politely denied, and probably for good reason: Inclusion of this figure would probably require the deletion of other figures, making the article a bit to mathematical for some, yet not sufficiently mathematical for other readers.
15 excellent quiz questions
File:WSU file cami15lle quiz questions.pdf consists excellent quiz questions on Global Warming and on Waves. This is perhaps the best effort of them all.
Ways of improvement by User:17hayel
File:Wright 2016-9 critique 1050.pdf this was one of many critiques calling for required attendance at lectures. This was one of many students who recommended required atendance, telling me that they can get high test scores with only nominal understanding of the concepts. Note also the impressive collection of teaching/evaluation rubrics.
Image Gallery
The first page of this and the previous pdf file upload can be seen here. Also shown are two images developed in other courses this Fall. A number of students contributed images, including this image that appears on a Miraheze wiki. Other images and one movie can be seen in this gallery:
-
15 quiz questions -
Ways of improvement -
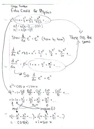
Proof of the most beautiful equation in mathematics -
Similar proof from the same workshop -
Movie made in Phy1100 showing conservation of energy in three coupled pendulums.
Footnotes and references
- ↑ See also wikibooks:Editing Wikitext
- ↑ Special:Permalink/1420960 are Special:Permalink/1403304 examples of quantitative questions in a conceptual course.