Bioenergetics refers to the transformation of energy that occurs within living organisms. In order to fuel the chemical mechanisms within cells, organisms require an input of energy. This energy is used to drive chemical reactions and help store and process information, which is essential in propagating life. Energy may be obtained from sunlight, in which case the organisms are referred to as phototrophs, or it may be extracted from chemicals, in which case the organisms are referred to as chemotrophs. Because energy may not be available at all times to fuel these life processes, organisms have adapted mechanisms to couple chemical reactions so that exergonic reactions can provide energy for those that are endorgernic.
The chemical reactions performed by an organism make up its metabolism. Catabolic reactions involve the break down of chemical molecules, while anabolic reactions involve the synthesis of compounds.
The Laws of Thermodynamics
The energy processes in living organisms are defined by the basic laws of thermodynamics. The first law dictates that the total energy present in the universe always remains constant (Note: though the energy total is static, it often changes forms such as when an animal converts the chemical energy of food to mechanical energy as it moves). Meanwhile, the second law asserts that the total entropy present in the universe is ever increasing.
The Energy Process
For phototrophs, sunlight takes the form of potential energy, while complex molecules serve as potential energy for chemotrophs. In living organisms, energy is commonly used in the form of work. This work energy is acquired by breaking weak bonds and forming stronger bonds. Work may take the form of synthetic chemical reactions, maintaining chemical and ionic gradients (homeostasis), and transferring genetic information. This most important form of work is the polymerization of information-containing macromolecules, such as protein, DNA, and RNA. These macromolecules form the basis of life and are what ultimately drive life’s processes. Though mechanisms have been adapted to make the most efficient use of the acquired energy, some of it is inevitably released in the form of heat or metabolic waste products. These waste products can be eliminated from the body of an organism and consumed by bacteria or other organisms that are able to extract energy from them. Often, materials and compounds useless to one organism are energy sources for another and by this exchange energy is constantly recycled.
Energy Coupling
In order to increase energetic efficiency, cells often couple reactions together. Endergonic reactions are those that require an input of energy. Exergonic reactions are those that release energy. By coupling these two reactions together, the overall chemical process is made exergonic so it can occur spontaneously due to a negative free-energy change. Using this process, unfavorable chemical reactions can be made to proceed.
The basis of reaction coupling is a shared chemical intermediate. After one reaction produces one product, another can use it as a reactant to drive the production of an essential compound.
Gibbs Free Energy
Named after Josiah Willard Gibbs who developed the concept in 1878, the Gibbs free energy describes the overall favorability of a reaction to proceed. It is characterized by the following equation: ΔG = ΔH - TΔS where ΔG is the Gibbs free energy change, ΔH is the change in enthalpy (heat), T is temperature (measured in Kelvins), and ΔS is the change in entropy. A reaction, or process, will occur spontaneously if and only if ΔG < 0 for that reaction. If ΔG > 0 then that reaction must be coupled (see Energy Coupling) with a reaction which has ΔG < 0 such that the overall ΔG of the 2 reactions is <0. ATP hydrolysis is a commonly used reaction for such situations (see ATP). As the equation shows, a reaction is more favorable, the more ΔH < 0 (i.e. the more heat is given off by the reaction) and the more ΔS > 0 (i.e. the more disorder is increased) and the effect of entropy gained or lost is magnified by the temperature surrounding the reaction.
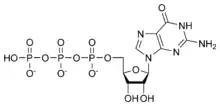
ATP

Most coupling reactions use the break down of adenosine triphosphate (ATP) as the intermediate process to drive chemical synthesis. ATP is used as an energy-storing compound. The phosphoanhydride bond between phosphate groups found in ATP stores a significant amount of energy due to the negative charges carried by the phosphate groups. This bond stored energy that is not currently use, but available later for running reactions is called Potential energy. This energy is required to keep the negatively charged groups close to each other in the ATP molecule because they, as do all like-charged groups, repel each other. This energy can be released (Exothermic reaction) for use in the cell to do work, move things and build things by hydrolysis and breakage of the bond.
ATP -> ADP + P + Energy
When carbohydrates and other foods are consumed, they are broken down by enzymes to release the energy within them. The exothermic energy released is used to reattach a phosphate to ADP through Endothermic reactions which will regenerate ATP formation.
ADP + P + Energy -> ATP
Then, the process of bond breaking and bond forming will repeat over and over within human cells to provide energy for all the chemical reactions.
GTP

GTP (guanosine-5’-triphosphate) can be used as a source of energy, just like ATP but not in any type of organisms. However GTP is only used in specific areas of the cell, namely protein synthesis. ATP and GTP are similar in structure; both have a purine base, and 3 phosphate groups, but ATP has adenine attached to the purine, whereas GTP has a guanine. The energy stored in GTP is released in the same way as ATP.
Feedback
In order for the body to maintain homeostasis, feedback loops are often used. Negative feedback maintains homeostasis by slowing down or stopping a mechanism once it approaches the appropriate range. For instance, the hydrolysis of ATP is an exergonic reaction, meaning it gives off energy in the form of heat. If the temperature in a cell becomes too high, the cell will die, so negative feedback will stop the reaction to maintain homeostasis in terms of temperature. In positive feedback, a process will speed up once a receptor detects the occurrence of a certain reaction. A positive feedback mechanism is used in the stomach during digestion: for example, HCl secreted by parietal cells in the stomach convert pepsinogen to pepsin, and this reaction causes the pepsin to convert all the pepsinogen to pepsin to aid in the enzymatic breakdown of proteins. Another example of a positive feedback mechanism is childbirth, once the contractions start, they begin to occur with increasing frequency and pressure.