Alimadol
Not to be confused with adimolol.
![]() | |
| Clinical data | |
|---|---|
| ATC code |
|
| Identifiers | |
IUPAC name
| |
| CAS Number | |
| PubChem CID | |
| ChemSpider | |
| UNII | |
| ChEMBL | |
| CompTox Dashboard (EPA) | |
| Chemical and physical data | |
| Formula | C19H23NO |
| Molar mass | 281.399 g·mol−1 |
| 3D model (JSmol) | |
SMILES
| |
InChI
| |
Alimadol (INN; A-4020) is an opioid analgesic related to methadone which was never marketed.[1]
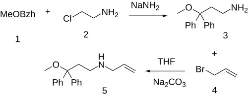
Synthesis
- benzhydryl methyl ether [1016-09-7] (1)
- β-chloroethylamine [689-98-5] (2)
- 1,1-Diphenyl-1-methoxy-3-aminopropane: PC21534188 (3)
- Allyl bromide [106-95-6] (4)
See also
References
- ↑ Ganellin CR, Triggle DJ (1997). Dictionary of Pharmacological Agents. CRC Press. p. 47. ISBN 978-0-412-46630-4. Retrieved 11 May 2012.
- ↑ US 3960960, Hollinger R, Wendtlandt W, Schneider G, "1,1-Diphenyl-1-lower alkoxy-amino-alkanes and the salts thereof", issued 1 June 1976, assigned to Chemie Linz AG
- ↑ Hoellinger Roderich Dr, CH478088A (1969 to Chemie Linz Ag).
Opioid receptor modulators | |||||
|---|---|---|---|---|---|
| μ-opioid (MOR) |
| ||||
| δ-opioid (DOR) |
| ||||
| κ-opioid (KOR) |
| ||||
| Nociceptin (NOP) |
| ||||
| Others |
| ||||
This article is issued from Wikipedia. The text is licensed under Creative Commons - Attribution - Sharealike. Additional terms may apply for the media files.

