Bromazolam
![]() | |
| Legal status | |
|---|---|
| Legal status |
|
| Identifiers | |
IUPAC name
| |
| CAS Number | |
| PubChem CID | |
| ChemSpider | |
| UNII | |
| ChEMBL | |
| Chemical and physical data | |
| Formula | C17H13BrN4 |
| Molar mass | 353.223 g·mol−1 |
| 3D model (JSmol) | |
SMILES
| |
InChI
| |
Bromazolam (XLI-268) is a triazolobenzodiazepine (TBZD) which was first synthesised in 1976, but was never marketed.[2] It has subsequently been sold as a designer drug, first being definitively identified by the EMCDDA in Sweden in 2016.[3] It is the bromo instead of chloro analogue of alprazolam and has similar sedative and anxiolytic effects to it and other benzodiazepines.[4][5] Bromazolam is a non subtype selective agonist at the benzodiazepine site of GABAA receptors, with a binding affinity of 2.81 nM at the α1 subtype, 0.69 nM at α2 and 0.62 nM at α5.[6] The "common" dosage range for users of bromazolam was reported to be 1–2 mg, suggesting its potency is similar to alprazolam.[7]
Adverse effects
Because bromazolam is relatively new, epidemiological research regarding the individual's health effects as well as the effects on the public health are quite scarce. Most of the knowledge about the effects are known from case studies and individual reports.
The typical effects of benzodiazepines used in medical science are muscle relaxation, amnesia, sedation, anxiolysis and anticonvulsive activity (used to treat epilepsy). Therefore benzodiazepines are frequently used to treat illnesses such as anxiety, insomnia, muscle spasms or epilepsy.[8][9]
According to studies, even short use of bromazolam could lead to tolerance and psychological, as well as physical, dependence.[5] Benzodiazepine-like compounds are rarely fatal when taken alone but can cause central nervous system depression when combined with other medication or drugs.[10]
Common adverse effects of benzodiazepines are somnolence, impaired balance, ataxia, loss of coordination, impaired thinking and self-assessment capability, muscle weakness, confusion, slurred speech, blurred vision, amnesia, dizziness, drowsiness, lethargy, fatigue and palpitations. At high doses, they may induce delirium, auditory and visual hallucinations, seizures, deep sleep and coma.[5][11]
To study the potential addictive nature of bromazolam a two-lever drug discrimination test was performed. Rats trained to discriminate against the benzodiazepine midazolam were used to evaluate the abuse potential of bromazolam. They found that bromazolam resulted in full dose-dependent substitution with an ED50 of 0.54 mg/kg. In comparison the ED50 of midazolam and diazepam were 0.09 and 0.66 respectively.[7]
Pharmacology
Pharmacokinetics
Metabolism
Not many studies have been conducted on the biotransformation of bromazolam, mainly because this drug is relatively new. However, in a study of Wagmann et al. (2020), the biotransformation of bromazolam is studied in depth. The results of this study are described in the text below.[8]
Blood plasma and urine of two individuals suspected of taking bromazolam were analysed for bromazolam and its metabolites. Bromazolam was detected in all four of the samples. One of the urine samples contained 8 bromazolam metabolites these were: phenyl-hydroxy bromazolam, 4-hydroxy bromazolam, α-hydroxy bromazolam, α-4-dihydroxy bromazolam, bromazolam N-glucuronide, phenyl-hydroxy bromazolam glucuronide, α-hydroxy bromazolam glucuronide, and 4-hydroxy bromazolam glucuronide. In the blood plasma sample of the same individual only the three mono-hydroxylated metabolites were found.[8]
The urine of the other individual only contained two metabolites, which were also found in the other urine sample, and the blood plasma did not show any metabolite of bromazolam present in the body.
A study where pooled human liver S9 fractions (pHLS9) were incubated with bromazolam was conducted. Seven, out of the eight urine, bromazolam metabolites were found in the pHLS9 samples. Phenyl-hydroxylated glucuronide bromazolam was not found in the pHLS9 samples.[8]
Several monooxygenases and glucuronosyltransferases have been screened, in vitro, for activity of the biotransformation of bromazolam. Out of the eight metabolites found in a urine sample seven metabolites have been linked to monooxygenases and glucuronosyltransferases activity.[8]
Phase I
Phenyl-hydroxy bromazolam, 4-hydroxy bromazolam, α-hydroxy bromazolam, and α-4-dihydroxy bromazolam. The formation of phenyl-hydroxy bromazolam was catalysed by CYP2B6, CYP2C19, and CYP3A4. 4-hydroxy bromazolam, as well as α-hydroxy bromazolam, were formed by CYP2B6, CYP2C19, CYP3A4, and CYP3A5. Additionally, CYP2C9 was found to catalyse the formation of α-hydroxy bromazolam as well. α-4-dihydroxy bromazolam was only found in incubations with CYP3A4.[8]
Phase II
Bromazolam N-glucuronide, phenyl-hydroxy bromazolam glucuronide, α-hydroxy bromazolam glucuronide, and 4-hydroxy bromazolam glucuronide, were detected as phase II metabolites.
Bromazolam N-glucuronidation was found to be catalysed by UGT1A4 and UGT2B10. The formation of α-hydroxy bromazolam glucuronide was catalysed by UGT2B4. And 4-hydroxy bromazolam glucuronidation was catalysed by UGT1A3, UGT1A6, UGT1A9, UGT2B7 and UGT2B15.
The enzyme responsible for the catalysis for the phenyl-hydroxy bromazolam glucuronidation formation was not identified.[8]
Pharmacodynamics
Benzodiazepine like compounds are acting as positive allosteric modulators to the gamma-aminobutyric acid GABAA receptor. GABA is the main inhibitor of neurotransmitters in the brain and modulates the activity of many neurons.
Benzodiazepines bind to the GABAA receptor inducing a conformational change leading to an increased affinity to GABA.
The allosteric binding site is situated in a "pocket" created by the alpha and gamma subunits. The pharmacological effects on benzodiazepines vary based on which alpha subunit of the GABAA receptor the benzodiazepine binds to.
The sedative, anterograde amnesic, anticonvulsant actions, and the addictive nature of benzodiazepines, are due to the binding to the α1 subunit of the (GABA)A receptor. Binding to the α2 subunit will cause the anxiolytic effects, and binding to the α2, α3, and α5 subunits will lead to the myorelaxant effects.[9]
According to research done by the WHO bromazolam binds to the α1, α2, and α5 subunits.[12]
Chemistry
Synthesis
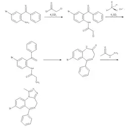
The synthetic pathway of the synthesis is executed as follows: In the initial step, 2-Amino-5-bromobenzophenone undergoes acylation, leveraging its amino group with a lone pair on the nitrogen atom. This lone pair facilitates a nucleophilic attack, where the nitrogen attacks the carbon of chloroacetyl chloride, inducing a negatively charged oxygen. Subsequently, the oxygen re-establishes the carbon-oxygen double bond, expelling a chloride ion, leading to the formation of bromoacetamide-2-chloro-5-benzophenone.[13][14]
Following this, bromoacetamide-2-chloro-5-benzophenone engages in a nucleophilic substitution reaction with ammonium hydroxide as a nucleophile, replacing the second chloride ion with ammonia. This reaction yields 2-amino-N-(2-benzoyl-4-bromophenyl)acetamide.[13][15]
Upon the formation of 2-amino-N-(2-benzoyl-4-bromophenyl)acetamide, an intramolecular reaction ensues, resulting in 7-bromo-5-phenyl-1,3-dihydro-1,4-benzodiazepin-2-one, characterized by a seven-membered ring known as diazepine.[16]
Subsequently, through the aid of acetohydrazide, another acylation event takes place, giving rise to a 1,2,4-triazole ring and ultimately yielding the synthesis of Bromazolam.[14][17][18][19] This synthesis can also be used to synthesize alprazolam by using 2-amino-5-chlorobenzophenone as the starting material. The synthesis of Bromazolam is shown below.

Society and culture

Legal status
In the United States, bromazolam is unscheduled at the federal level. However a number of states such as Virginia have placed bromazolam into Schedule 1 at the state level, but this does not include the 6-(2-chlorophenyl) analog phenazolam.[20][21]
Despite being unscheduled there have been several arrests in the United States for mismarketing bromazolam as alprazolam, typically in the shape of brand name Xanax tablets which constitutes a counterfeit drug charge among others.[22]
In Illinois, at least 1 person has been arrested for "unlawful possession of a controlled substance, a Class 4 felony." for the possession of less than 15 grams (½ oz.) of bromazolam, similar to being charged for unlawful possession of alprazolam in Illinois. It's unknown if this arrest involved counterfeit Xanax shaped tablets or powder.[23] However bromazolam is not scheduled in Illinois.[24]
In June 2022, the U.S. Department of Justice reported that bromazolam seizures were "surging" across the United States, driven in part by increasing detections alongside fentanyl.[25]
In Canada, illicit opioids such as heroin or fentanyl analogues are mixed with bromazolam and sold at the street level; the product is sometimes referred to as "benzo-dope."[26]
In the United Kingdom, bromazolam is a Class C controlled substance.[5]
See also
References
- ↑ Anvisa (2023-03-31). "RDC Nº 784 - Listas de Substâncias Entorpecentes, Psicotrópicas, Precursoras e Outras sob Controle Especial" [Collegiate Board Resolution No. 784 - Lists of Narcotic, Psychotropic, Precursor, and Other Substances under Special Control] (in Brazilian Portuguese). Diário Oficial da União (published 2023-04-04). Archived from the original on 2023-08-03. Retrieved 2023-08-16.
- ↑ Manchester KR, Lomas EC, Waters L, Dempsey FC, Maskell PD (January 2018). "The emergence of new psychoactive substance (NPS) benzodiazepines: A review". Drug Testing and Analysis. 10 (1): 37–53. doi:10.1002/dta.2211. PMID 28471096.
- ↑ "Europol 2016 Annual Report on the implementation of Council Decision 2005/387/JHA. EMCDDA" (PDF). European Monitoring Centre for Drugs and Drug Addiction (EMCDDA) and European Union Agency for Law Enforcement Cooperation (Europol). 2017.
- ↑ Waters L, Manchester KR, Maskell PD, Haegeman C, Haider S (May 2018). "The use of a quantitative structure-activity relationship (QSAR) model to predict GABA-A receptor binding of newly emerging benzodiazepines". Science & Justice. 58 (3): 219–225. doi:10.1016/j.scijus.2017.12.004. PMID 29685303.
- 1 2 3 4 Zawilska JB, Wojcieszak J (July 2019). "An expanding world of new psychoactive substances-designer benzodiazepines". Neurotoxicology. 73: 8–16. doi:10.1016/j.neuro.2019.02.015. PMID 30802466. S2CID 73461430.
- ↑ Clayton T, Poe MM, Rallapalli S, Biawat P, Savić MM, Rowlett JK, et al. (2015). "A Review of the Updated Pharmacophore for the Alpha 5 GABA(A) Benzodiazepine Receptor Model". International Journal of Medicinal Chemistry. 2015: 430248. doi:10.1155/2015/430248. PMC 4657098. PMID 26682068.
- 1 2 "Critical review report: Bromazolam" (PDF). 20 October 2023.
- 1 2 3 4 5 6 7 Wagmann L, Manier SK, Felske C, Gampfer TM, Richter MJ, Eckstein N, et al. (November 2021). "Flubromazolam-Derived Designer Benzodiazepines: Toxicokinetics and Analytical Toxicology of Clobromazolam and Bromazolam". Journal of Analytical Toxicology. 45 (9): 1014–1027. doi:10.1093/jat/bkaa161. PMID 33048135.
- 1 2 Tan KR, Rudolph U, Lüscher C (April 2011). "Hooked on benzodiazepines: GABAA receptor subtypes and addiction". Trends in Neurosciences. 34 (4): 188–197. doi:10.1016/j.tins.2011.01.004. PMC 4020178. PMID 21353710.
- ↑ Dear JW, Bateman DN (March 2016). "Benzodiazepines". Medicine. 44 (3): 145. doi:10.1016/j.mpmed.2015.12.025.
- ↑ Orsolini L, Corkery JM, Chiappini S, Guirguis A, Vento A, De Berardis D, et al. (September 2020). "'New/Designer Benzodiazepines': An Analysis of the Literature and Psychonauts' Trip Reports". Current Neuropharmacology. 18 (9): 809–837. doi:10.2174/1570159X18666200110121333. PMC 7569319. PMID 31933443.
- ↑ "Critical review report: Bromazolam" (PDF). Expert Committee on Drug Dependence. 2023.
- 1 2 Safaei-Ghomi J, Hatami A (January 2008). "Facile and Efficient One‐Pot Protocol for Synthesis of 5‐Phenyl‐1,4‐benzodiazepine‐2‐one Derivatives". Synthetic Communications. 38 (2): 297–302. doi:10.1080/00397910701750078. ISSN 0039-7911.
- 1 2 Wade LG, Simek JW (2017). Organic chemistry (Ninth global ed.). Harlow: Pearson Education Limited. ISBN 978-1-292-15110-6.
- ↑ Brown TL, LeMay HE, Bursten BE, Murphy CJ, Woodward PM, Stoltzfus MW (2022). Chemistry: the central science (15th global edition in SI units ed.). Harlow: Pearson. ISBN 978-1-292-40761-6.
- ↑ Batlle E, Lizano E, Viñas M, Pujol MD (2019-03-13), "1,4-Benzodiazepines and New Derivatives: Description, Analysis, and Organic Synthesis", Medicinal Chemistry, IntechOpen, doi:10.5772/intechopen.79879
- ↑ US20040082573A1, Cook J, Huang Q, He X, Li X, Yu J, Han D, Lelas S, McElroy J, "Anxiolytic agents with reduced sedative and ataxic effects", issued 2004-04-29
- ↑ US7618958B2, Cook J, Zhou H, Huang S, Sarma PV, "Stereospecific anxiolytic and anticonvulsant agents with reduced muscle-relaxant, sedative-hypnotic and ataxic effects", issued 2009-11-17
- ↑ US8835424B2, Cook J, Huang S, Edwankar R, Namjoshi OA, "Selective agents for pain suppression", issued 2014-09-16
- ↑ "Chapter 34". law.lis.virginia.gov. Archived from the original on 2023-03-23.
- ↑ "Warren County Grand Jury of February 2023 indictments". Royal Examiner. 18 February 2023.
- ↑ "Florida Man Sentenced for Selling Counterfeit Drugs on the Dark Net". Eastern District of Virginia. United States Department of Justice. 24 August 2021.
- ↑ Cousins S (9 August 2021). "Drug charges filed recently in Madison County". The Telegraph.
- ↑ "720 ILCS 570/". Illinois Controlled Substances Act. State of Illinois.
- ↑ Papsun DM, Krotulski AJ, Mastrovito R, Walton SE, Logan BK (15 June 2022). "Bromazolam Prevalence Surging Across the United States Driven In Part by Increasing Detections Alongside Fentanyl". NCJRS Virtual Library. U.S. Department of Justice.
- ↑ "Bromazolam Warning about deadly street drug bromazolam". 9 December 2022.
