Imolamine
![]() | |
![]() | |
| Clinical data | |
|---|---|
| Trade names | Angolon, Angoril, Circuline, Irri-Cor, Irrigor, Coremax |
| ATC code | |
| Identifiers | |
IUPAC name
| |
| CAS Number |
|
| PubChem CID | |
| DrugBank | |
| ChemSpider | |
| UNII | |
| KEGG | |
| ChEMBL | |
| CompTox Dashboard (EPA) | |
| ECHA InfoCard | 100.005.699 |
| Chemical and physical data | |
| Formula | C14H20N4O |
| Molar mass | 260.341 g·mol−1 |
| 3D model (JSmol) | |
SMILES
| |
InChI
| |
| | |
Imolamine (INN, BAN; brand names Angolon, Angoril, Circuline, Irri-Cor, Irrigor, Coremax) is a coronary vasodilator which is used in the treatment of angina pectoris and as a local anesthetic.[1][2]
Synthesis
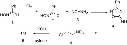
Butalamine has very similar synthesis but is alkylated on the alternate nitrogen position.
The reaction of benzoylchloride oxime [698-16-8] (2) with Cyanamide (3) gives 3-Phenyl-1,2,4-oxadiazol-5-amine [3663-37-4] (4). Alkylation with 2-chlorotriethylamine [100-35-6] (5) in the presence of KOH base occurs at the endocyclic ring nitrogen completing the synthesis of imolamine (6).
EFforts towards Onepot method (section 2.5 & 2.6).
References
- ↑ Index Nominum 2000: International Drug Directory. Taylor & Francis. January 2000. pp. 547–. ISBN 978-3-88763-075-1.
- ↑ Elks J (14 November 2014). The Dictionary of Drugs: Chemical Data: Chemical Data, Structures and Bibliographies. Springer. pp. 680–. ISBN 978-1-4757-2085-3.
- ↑ Anne Rolland, EP 0191253 (1986 to Laboratoires Albert Rolland SA).
- ↑ Anne Rolland, FR 2576789 (1986 to Laboratoires Albert Rolland SA).
- ↑ FR2023M idem J M D Aron-Samuel & J J Sterne, GB 1010231 (1965-11-17).
This article is issued from Wikipedia. The text is licensed under Creative Commons - Attribution - Sharealike. Additional terms may apply for the media files.


