Trifluperidol
![]() | |
| Clinical data | |
|---|---|
| Trade names | Triperidol |
| AHFS/Drugs.com | International Drug Names |
| Routes of administration | Oral |
| ATC code | |
| Legal status | |
| Legal status |
|
| Identifiers | |
IUPAC name
| |
| CAS Number | |
| PubChem CID | |
| DrugBank | |
| ChemSpider | |
| UNII | |
| ChEMBL | |
| CompTox Dashboard (EPA) | |
| Chemical and physical data | |
| Formula | C22H23F4NO2 |
| Molar mass | 409.425 g·mol−1 |
| 3D model (JSmol) | |
SMILES
| |
InChI
| |
Trifluperidol is a typical antipsychotic of the butyrophenone chemical class. It has general properties similar to those of haloperidol, but is considerably more potent by weight, and causes relatively more severe side effects, especially tardive dyskinesia and other extrapyramidal effects. It is used in the treatment of psychoses including mania and schizophrenia. It was discovered at Janssen Pharmaceutica in 1959.[2][3]
Synthesis
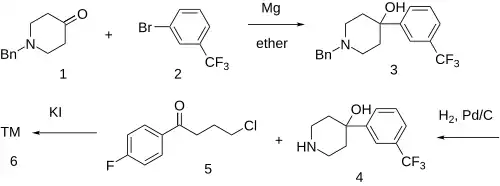
The Grignard reaction between 1-benzyl-4-piperidone [3612-20-2] (1) and 3-bromobenzotrifluoride [401-78-5] (2) gives 1-benzyl-4-(3-(trifluoromethyl)phenyl)piperidin-4-ol, CID:12718203 (3). Catalytic hydrogenation removes the benzyl protecting group to give 4-[3-(trifluoromethyl)phenyl]-4-piperidinol [2249-28-7] (4). Alkylation with 4-Chloro-4'-fluorobutyrophenone [3874-54-2] (5) introduces the sidechain and hence completed the synthesis of Trifluperidol (6).
See also
References
- ↑ Anvisa (2023-03-31). "RDC Nº 784 - Listas de Substâncias Entorpecentes, Psicotrópicas, Precursoras e Outras sob Controle Especial" [Collegiate Board Resolution No. 784 - Lists of Narcotic, Psychotropic, Precursor, and Other Substances under Special Control] (in Brazilian Portuguese). Diário Oficial da União (published 2023-04-04). Archived from the original on 2023-08-03. Retrieved 2023-08-16.
- ↑ Gallant DM, Bishop MP, Timmons E, Steele CA (September 1963). "A controlled evaluation of Trifluperidol: a new potent psychopharmacologic agent". Current Therapeutic Research, Clinical and Experimental. 5: 463–71. PMID 14065098.
- ↑ Gallant DM, Bishop MP, Timmons E, Steele CA (November 1963). "Trifluperidol: a butyrophenone derivative". The American Journal of Psychiatry. 120 (5): 485–7. doi:10.1176/ajp.120.5.485. PMID 14051242.
- ↑ GB895309 idem P. Adriaan J. Janssen, U.S. patent 3,438,991 (1969 to Res Lab Dr C Janssen Nv).
- ↑ 彭响亮, CN 105439811 (2016 to Chengdu Zhongheng Huatie Technology Co Ltd).
- ↑ Tacke, R., Nguyen, B., Burschka, C., Lippert, W. P., Hamacher, A., Urban, C., Kassack, M. U. (12 April 2010). "Sila-Trifluperidol, a Silicon Analogue of the Dopamine (D 2 ) Receptor Antagonist Trifluperidol: Synthesis and Pharmacological Characterization". Organometallics. 29 (7): 1652–1660. doi:10.1021/om901011t.

